Turbo Grundforløb 2 Elektriker - N25G2ELE09M12 + M13
Emneoversigt
-
Menu
You are currently viewing this course as Gæster.
-
-
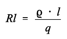
En video hvor Peter Velberg gennemgår Ledningsmodstand.
(Bærmærk at han i eksemplet bruger en modstandsfylde på 0,0175Ω/mm2/m, hvor du skal andvende en ledningsmodstand på 0,018Ω/mm2/m) -
Interaktiv model som viser hvordan forholdene i Ledningsmodstandformlen, har indflyde på din Ledningsmodstand RL [Ω]
-
En samling af alle Illustrationer jeg har brugt.
-
Læs om Ledningsmodstand s. 155-159(midt) i El-Teori (Blåbog)
-
Ledningsmodstand Fil
-
Guldmappe - Ledningsmodstand Opgave
-
Læs om spændingsfald s. 273 - 274 i El-Teori (Blåbog)
-
Spændingsfald Fil
-
Guldmappe - Spændingsfald Opgave


